Quadratic Application Problems Worksheet Quadratic Equations
Quadratic application problems Quadratic application worksheet ~ zity biz Quadratic functions worksheet with answers
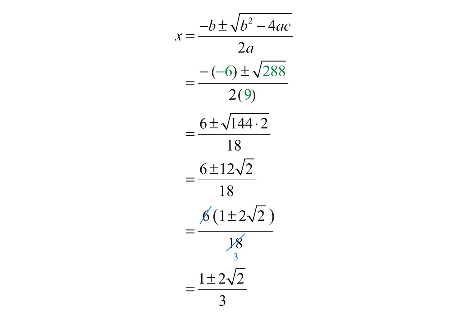
Quadratic Applications
Graphing quadratic review worksheet Quadratic equations solving grade Quadratic equations solving worksheet drills coefficients algebra equal equation quadratics factoring integer
Quadratic formula quadratics graphing library doc functions solving
Quadratic application problems by lee hookerQuadratic equation factoring equations solving solve quadratics tessshebaylo calculator Quadratic applicationsWorksheet using the quadratic formula worksheet worksheets library — db.
Applications of quadratic equations worksheet for 6thSolve quadratic equations by competing the square worksheets Quadratic equations applications worksheetQuadratic equations word worksheets aq aq1.
:max_bytes(150000):strip_icc()/SolveQuad1-56a602865f9b58b7d0df73fc.jpg)
Quadratics applications homework worksheet
Quadratic equation worksheet /problem with solutionA 5-4 quadratic application problems Quadratic formula worksheet with answers – imsyaf.com31 quadratic word problems worksheet with answers.
Solving quadratic equations for x with 'a' coefficients between -4 andQuadratic applications worksheet #5 Algebra honors ii quadratic applications keyQuadratic formula worksheet pdf / grade 10 math worksheets and problems.

Quadratic problems equation math algebra
Quadratic applications worksheet #2Solving quadratic equations with square roots worksheet answers Applied quadratic functions worksheet with answersQuadratic equations word problems worksheet.
Identifying quadratic functions worksheetQuadratic equations yumpu problems intro Quadratic application problems (part 1)Applications of quadratic functions worksheet.

Quadratic equations application worksheet
Solving quadratic equations using all methods worksheet answSolving quadratic equations worksheet for 8th Quadratic practice worksheet with answersQuadratic equations word problems worksheet math quadratic equation.
Applications worksheet quadratic quadratics homeworkEquations linear solving quadratic algebra step inequalities addition worksheets inequality excel chessmuseum Quadratic equation word problemsApplications of quadratic equations worksheet – martin lindelof.

Quadratic equations solving equal roots algebra coefficients quadratics factoring drills integer completing
Worksheet quadratic applications part 1Honors algebra ii Applications quadratic functions worksheet – function worksheets.
.


Solving Quadratic Equations With Square Roots Worksheet Answers

Solving Quadratic Equations Using All Methods Worksheet Answ

Graphing Quadratic Review Worksheet - Printable Word Searches

Quadratic equation word problems - Worksheet Template Tips And Reviews

Worksheet Using The Quadratic Formula Worksheet Worksheets Library — db

Applied Quadratic Functions Worksheet With Answers - Quadraticworksheet.com

A 5-4 Quadratic Application Problems - - Studocu